Najpierw satelita okrążał Ziemię po orbicie kołowej, a następnie przeniesiono go na orbitę eliptyczną. Ustal, jaka była prędkość satelity, kiedy krążył po pierwotnej orbicie kołowej.
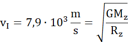
Pierwsza prędkość kosmiczna:
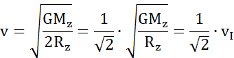
Prędkość na pierwotnej orbicie kołowej:
Wzór na prędkość satelity krążącej po orbicie kołowej ma postać:
Gdzie v – prędkość satelity [
M – masa planety [kg],
G – stała grawitacji [
r – promień orbity [m].
Zadanie 11.1.8.
16Zadanie 11.1.9.
17Zadanie 11.1.10.
17Zadanie 11.2.2.
21Zadanie 11.2.7.
25Zadanie 11.3.14.
33Zadanie 11.3.17.
34Zadanie 11.3.19.
35Zadanie 11.3.20.
35Zadanie 11.3.22.
35Zadanie 11.3.24.
36Zadanie 11.3.25.
36Zadanie 11.3.26.
36Zadanie 11.4.10.
44Zadanie 11.4.11.
44Zadanie 11.4.12.
44Zadanie 11.4.20.
46Zadanie 11.4.22.
46Zadanie 11.5.8.
54Zadanie 11.5.16.
57Zadanie 11.6.1.
66Zadanie 11.6.6.
67Zadanie 11.6.7.
67Zadanie 11.6.11.
68Zadanie 11.6.12.
69Zadanie 11.6.16.
69Zadanie 11.6.22.
70Zadanie 11.6.23.
71Zadanie 11.6.24.
71Zadanie 11.6.25.
71Zadanie 11.6.26.
72Zadanie 11.7.1.
74Zadanie 11.7.3.
75Zadanie 11.7.4.
75