Spójrz na rysunek i policz, jaki zwrot i wartość ma natężenie pola grawitacyjnego w punkcie libracyjnym L2.
Wzór natężenie grawitacyjne:
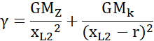
Natężenie pola grawitacyjnego w punkcie L2 to suma natężeń pola względem Ziemi i Księżyca:
Względem Ziemi:
Względem Księżyca:
Łącznie:
Zwrot natężenia pola będzie w stronę Ziemi i Księżyca.
Wzór na natężenie pola grawitacyjnego ma postać:
gdzie γ – natężenie pola grawitacyjnego [
G – stała grawitacji [
M – masa planety (jeśli liczysz natężenie pola wewnątrz planety, to nie bierzesz pod uwagę całej masy planety, tylko o masę kuli o promieniu równym odległości od środka planety) [kg],
r – odległość od środka planety [m].
Zadanie 11.1.8.
16Zadanie 11.1.9.
17Zadanie 11.1.10.
17Zadanie 11.2.2.
21Zadanie 11.2.7.
25Zadanie 11.3.14.
33Zadanie 11.3.17.
34Zadanie 11.3.19.
35Zadanie 11.3.20.
35Zadanie 11.3.22.
35Zadanie 11.3.24.
36Zadanie 11.3.25.
36Zadanie 11.3.26.
36Zadanie 11.4.10.
44Zadanie 11.4.11.
44Zadanie 11.4.12.
44Zadanie 11.4.20.
46Zadanie 11.4.22.
46Zadanie 11.5.8.
54Zadanie 11.5.16.
57Zadanie 11.6.1.
66Zadanie 11.6.6.
67Zadanie 11.6.7.
67Zadanie 11.6.11.
68Zadanie 11.6.12.
69Zadanie 11.6.16.
69Zadanie 11.6.22.
70Zadanie 11.6.23.
71Zadanie 11.6.24.
71Zadanie 11.6.25.
71Zadanie 11.6.26.
72Zadanie 11.7.1.
74Zadanie 11.7.3.
75Zadanie 11.7.4.
75