Oblicz wartość siły wypadkowej działającej na ciało o masie 1 kg w punkcie 1 (z poprzedniego zadania), uwzględniając siłę odśrodkową.
Promień planety:
Odległość Ziemi od Księżyca:
Masa ciała:
Siła odśrodkowa:
Siła wypadkowa działająca na ciało w punkcie 1:
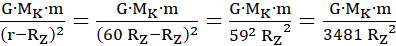
Siła grawitacji Księżyca:
Siła wypadkowa:
Wykorzystaj wzór na siłę przyciągania grawitacyjnego między dwoma ciałami:
gdzie F – siła grawitacji [N],
G – stała grawitacji [
M1 – masa pierwszego ciała [kg],
M2 – masa drugiego ciała [kg],
r – odległość między środkami dwóch ciał [m].
Siła odśrodkowa jest siłą, która przeciwdziała sile grawitacji.
Zadanie 11.1.8.
16Zadanie 11.1.9.
17Zadanie 11.1.10.
17Zadanie 11.2.2.
21Zadanie 11.2.7.
25Zadanie 11.3.14.
33Zadanie 11.3.17.
34Zadanie 11.3.19.
35Zadanie 11.3.20.
35Zadanie 11.3.22.
35Zadanie 11.3.24.
36Zadanie 11.3.25.
36Zadanie 11.3.26.
36Zadanie 11.4.10.
44Zadanie 11.4.11.
44Zadanie 11.4.12.
44Zadanie 11.4.20.
46Zadanie 11.4.22.
46Zadanie 11.5.8.
54Zadanie 11.5.16.
57Zadanie 11.6.1.
66Zadanie 11.6.6.
67Zadanie 11.6.7.
67Zadanie 11.6.11.
68Zadanie 11.6.12.
69Zadanie 11.6.16.
69Zadanie 11.6.22.
70Zadanie 11.6.23.
71Zadanie 11.6.24.
71Zadanie 11.6.25.
71Zadanie 11.6.26.
72Zadanie 11.7.1.
74Zadanie 11.7.3.
75Zadanie 11.7.4.
75