Policz, ile razy musi wzrosnąć prędkość dalszego satelity, aby mógł on wyjść poza działanie grawitacji planetoid.
Prędkość satelity na orbicie kołowej (I prędkość kosmiczna):
Aby satelita mogła wyjść poza oddziaływanie planetoidy, należy nadać jej II prędkość kosmiczną:
Ile razy musi wzrosnąć prędkość:
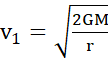
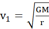
Wzór na prędkość satelity krążącej po orbicie (I prędkość kosmiczna) ma postać:
Gdzie v1 – prędkość satelity, kiedy krąży po orbicie kołowej [
M – masa planety, wokół której krąży satelita [kg],
G – stała grawitacji [
r – promień orbity [m].
Wzór na II prędkość kosmiczną:
v2 – prędkość ucieczki (aby ciało oddaliło się nieskończenie daleko od powierzchni planety) [
Zadanie 11.1.8.
16Zadanie 11.1.9.
17Zadanie 11.1.10.
17Zadanie 11.2.2.
21Zadanie 11.2.7.
25Zadanie 11.3.14.
33Zadanie 11.3.17.
34Zadanie 11.3.19.
35Zadanie 11.3.20.
35Zadanie 11.3.22.
35Zadanie 11.3.24.
36Zadanie 11.3.25.
36Zadanie 11.3.26.
36Zadanie 11.4.10.
44Zadanie 11.4.11.
44Zadanie 11.4.12.
44Zadanie 11.4.20.
46Zadanie 11.4.22.
46Zadanie 11.5.8.
54Zadanie 11.5.16.
57Zadanie 11.6.1.
66Zadanie 11.6.6.
67Zadanie 11.6.7.
67Zadanie 11.6.11.
68Zadanie 11.6.12.
69Zadanie 11.6.16.
69Zadanie 11.6.22.
70Zadanie 11.6.23.
71Zadanie 11.6.24.
71Zadanie 11.6.25.
71Zadanie 11.6.26.
72Zadanie 11.7.1.
74Zadanie 11.7.3.
75Zadanie 11.7.4.
75