Policz masę układu opisanego w tekście na 2 sposoby: z trzeciego prawa Keplera oraz z wykorzystaniem mas podanych w tekście. Opisz, skąd wynikają różnice w otrzymanych wynikach.
Średnia odległość:
Okres:
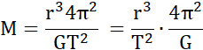
Zgodnie ze wzorem wynikającym z 3 prawa Keplera:
Masa układu:
Masa Słońca:
Masy podane w tekście
Masa łączna:
Różnice w wynikach są spowodowane niedokładnością dokonywania pomiarów.
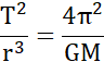
Z prawa Keplera wynika wzór:
Gdzie T – okres obrotu planety [s],
a – odległość planety od gwiazdy [m],
G – stała grawitacji [
M – masa obiektu, wokół którego krąży satelita [kg].
Pamiętaj, że musisz przeliczyć jednostki na jednostki podstawowe SI. Pamiętaj, że jedna jednostka astronomiczna to
Zadanie 11.1.8.
16Zadanie 11.1.9.
17Zadanie 11.1.10.
17Zadanie 11.2.2.
21Zadanie 11.2.7.
25Zadanie 11.3.14.
33Zadanie 11.3.17.
34Zadanie 11.3.19.
35Zadanie 11.3.20.
35Zadanie 11.3.22.
35Zadanie 11.3.24.
36Zadanie 11.3.25.
36Zadanie 11.3.26.
36Zadanie 11.4.10.
44Zadanie 11.4.11.
44Zadanie 11.4.12.
44Zadanie 11.4.20.
46Zadanie 11.4.22.
46Zadanie 11.5.8.
54Zadanie 11.5.16.
57Zadanie 11.6.1.
66Zadanie 11.6.6.
67Zadanie 11.6.7.
67Zadanie 11.6.11.
68Zadanie 11.6.12.
69Zadanie 11.6.16.
69Zadanie 11.6.22.
70Zadanie 11.6.23.
71Zadanie 11.6.24.
71Zadanie 11.6.25.
71Zadanie 11.6.26.
72Zadanie 11.7.1.
74Zadanie 11.7.3.
75Zadanie 11.7.4.
75