Policz (w procentach), o ile różni się przyspieszenie grawitacyjne na poziomie morza i na szczycie w Himalajach na wysokości 8500 m n.p.m.
Przyspieszenie na powierzchni Ziemi:
Wysokość szczytu:
Bezwzględna wysokość od środka Ziemi do szczytu góry:
Przyspieszenie grawitacyjne przy powierzchni ziemi:
Przyspieszenie grawitacyjne na szczycie:
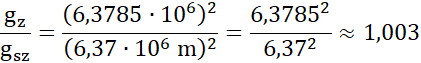
Iloraz:
Przyspieszenie na szczycie będzie około 0,3% niższe niż na powierzchni Ziemi.
Wzór na przyspieszenie grawitacyjne ma postać:
gdzie G – stała grawitacji [
g – przyspieszenie grawitacyjne
M – masa ciała [kg],
R – promień tego ciała [m] (jeśli mówisz o przyspieszeniu przy powierzchni planety – jeśli nie, to bierzesz pod uwagę odległość od środka planety).
Zadanie 11.1.8.
16Zadanie 11.1.9.
17Zadanie 11.1.10.
17Zadanie 11.2.2.
21Zadanie 11.2.7.
25Zadanie 11.3.14.
33Zadanie 11.3.17.
34Zadanie 11.3.19.
35Zadanie 11.3.20.
35Zadanie 11.3.22.
35Zadanie 11.3.24.
36Zadanie 11.3.25.
36Zadanie 11.3.26.
36Zadanie 11.4.10.
44Zadanie 11.4.11.
44Zadanie 11.4.12.
44Zadanie 11.4.20.
46Zadanie 11.4.22.
46Zadanie 11.5.8.
54Zadanie 11.5.16.
57Zadanie 11.6.1.
66Zadanie 11.6.6.
67Zadanie 11.6.7.
67Zadanie 11.6.11.
68Zadanie 11.6.12.
69Zadanie 11.6.16.
69Zadanie 11.6.22.
70Zadanie 11.6.23.
71Zadanie 11.6.24.
71Zadanie 11.6.25.
71Zadanie 11.6.26.
72Zadanie 11.7.1.
74Zadanie 11.7.3.
75Zadanie 11.7.4.
75