Policz, jak zmieni się energia potencjalna wody, kiedy wyleje się ze szklanki na stół, na którym leży szklanka.
Wysokość szklanki:
Średnica:
Gęstość:
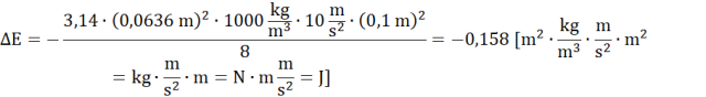
Energia potencjalna wody:
Kiedy woda jest w szklance całkowicie wypełnionej wodą, to środek ciężkości będzie się znajdować w połowie wysokości.
Energia potencjalna wody w szklance:
Energia potencjalna wody na stole:
Masa się nie zmienia:
Wysokość na stole jest równa 0.
Masa:
Energia potencjalna zmniejszyła się o 0,159 J
Wzór na energię potencjalną ma postać:
Gdzie Ep – energia potencjalna [J],
m – masa ciała [kg],
g – przyspieszenie ziemskie [
h – wysokość od środka ciężkości [m].
Wzór na objętość walca (szklanki):
Gdzie V – objętość walca [m3],
D – średnica walca [m],
H – wysokość walca [m].
Wzór na masę:
Gdzie d – gęstość ciała [
Zadanie 11.1.8.
16Zadanie 11.1.9.
17Zadanie 11.1.10.
17Zadanie 11.2.2.
21Zadanie 11.2.7.
25Zadanie 11.3.14.
33Zadanie 11.3.17.
34Zadanie 11.3.19.
35Zadanie 11.3.20.
35Zadanie 11.3.22.
35Zadanie 11.3.24.
36Zadanie 11.3.25.
36Zadanie 11.3.26.
36Zadanie 11.4.10.
44Zadanie 11.4.11.
44Zadanie 11.4.12.
44Zadanie 11.4.20.
46Zadanie 11.4.22.
46Zadanie 11.5.8.
54Zadanie 11.5.16.
57Zadanie 11.6.1.
66Zadanie 11.6.6.
67Zadanie 11.6.7.
67Zadanie 11.6.11.
68Zadanie 11.6.12.
69Zadanie 11.6.16.
69Zadanie 11.6.22.
70Zadanie 11.6.23.
71Zadanie 11.6.24.
71Zadanie 11.6.25.
71Zadanie 11.6.26.
72Zadanie 11.7.1.
74Zadanie 11.7.3.
75Zadanie 11.7.4.
75