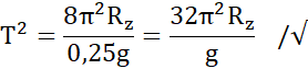
Policz okres obiegu satelity, który krąży na wysokości równej promieniowi Ziemi.
Przyspieszenie przy powierzchni Ziemi wynosi g:
Na wysokości h:
Wysokość od środka Ziemi:
Przyspieszenie:
To przyspieszenie jest równe przyspieszeniu dośrodkowemu:
Prędkość:
Wstawiam do wzoru:
Okres:
Wzór na prędkość w ruchu obrotowym:
gdzie T – okres obrotu [s].
v – prędkość ciała [
R – promień, wokół którego obraca się ciało [m].
Wzór na przyspieszenie grawitacyjne ma postać:
gdzie G – stała grawitacji [
g – przyspieszenie grawitacyjne
M – masa ciała [kg],
R – promień tego ciała [m] (jeśli mówimy o przyspieszeniu przy powierzchni planety – jeśli nie, to weź pod uwagę odległość od środka planety).
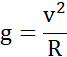
Wzór na przyspieszenie dośrodkowe:
g – przyspieszenie dośrodkowe
v – prędkość ciała (liniowa) [
R – promień, wokół którego obraca się ciało [m].
Zadanie 11.1.8.
16Zadanie 11.1.9.
17Zadanie 11.1.10.
17Zadanie 11.2.2.
21Zadanie 11.2.7.
25Zadanie 11.3.14.
33Zadanie 11.3.17.
34Zadanie 11.3.19.
35Zadanie 11.3.20.
35Zadanie 11.3.22.
35Zadanie 11.3.24.
36Zadanie 11.3.25.
36Zadanie 11.3.26.
36Zadanie 11.4.10.
44Zadanie 11.4.11.
44Zadanie 11.4.12.
44Zadanie 11.4.20.
46Zadanie 11.4.22.
46Zadanie 11.5.8.
54Zadanie 11.5.16.
57Zadanie 11.6.1.
66Zadanie 11.6.6.
67Zadanie 11.6.7.
67Zadanie 11.6.11.
68Zadanie 11.6.12.
69Zadanie 11.6.16.
69Zadanie 11.6.22.
70Zadanie 11.6.23.
71Zadanie 11.6.24.
71Zadanie 11.6.25.
71Zadanie 11.6.26.
72Zadanie 11.7.1.
74Zadanie 11.7.3.
75Zadanie 11.7.4.
75