Policz, ile wynosi energia kinetyczna, potencjalna i całkowita satelity na orbicie, na której została umieszczona satelita.
Masa:
Prędkość:
Promień Ziemi:
Przyspieszenie ziemskie na Ziemi o masie M:
W naszym przypadku prędkość dla całkowitej odległości od środka Ziemi:
Energia kinetyczna:
Energia potencjalna:
Energia całkowita to suma energii potencjalnej i kinetycznej:
Energia potencjalna:
gdzie
G – stała grawitacji [
M, m – masy ciał oddziałujących na siebie [kg],
r – odległość między ciałami [m].
Wzór na energię kinetyczną:
Gdzie v – prędkość ciała [
Energia potencjalna i energia kinetyczna dają łącznie energię całkowitą, którą załóż dla potrzeb zadania stałą w każdym punkcie.
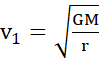
Wzór na prędkość satelity krążącej po orbicie (I prędkość kosmiczna) ma postać:
Gdzie v1 – prędkość satelity, kiedy krąży po orbicie kołowej [
M – masa planety, wokół której krąży satelita [kg],
G – stała grawitacji [
r – promień orbity [m].
Zadanie 11.1.8.
16Zadanie 11.1.9.
17Zadanie 11.1.10.
17Zadanie 11.2.2.
21Zadanie 11.2.7.
25Zadanie 11.3.14.
33Zadanie 11.3.17.
34Zadanie 11.3.19.
35Zadanie 11.3.20.
35Zadanie 11.3.22.
35Zadanie 11.3.24.
36Zadanie 11.3.25.
36Zadanie 11.3.26.
36Zadanie 11.4.10.
44Zadanie 11.4.11.
44Zadanie 11.4.12.
44Zadanie 11.4.20.
46Zadanie 11.4.22.
46Zadanie 11.5.8.
54Zadanie 11.5.16.
57Zadanie 11.6.1.
66Zadanie 11.6.6.
67Zadanie 11.6.7.
67Zadanie 11.6.11.
68Zadanie 11.6.12.
69Zadanie 11.6.16.
69Zadanie 11.6.22.
70Zadanie 11.6.23.
71Zadanie 11.6.24.
71Zadanie 11.6.25.
71Zadanie 11.6.26.
72Zadanie 11.7.1.
74Zadanie 11.7.3.
75Zadanie 11.7.4.
75