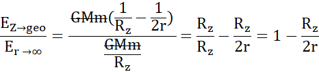
Wykaż, że stosunek energii potrzebnej do umieszczenia satelity na orbicie geostacjonarnej z powierzchni Ziemi do energii potrzebnej do przeniesienia satelity z powierzchni Ziemi do nieskończoności wynosi:
Promień Ziemi:
Promień orbity:
Energia potencjalna na orbicie:
Energia kinetyczna:
Wstawiam za v:
Energia całkowita:
Energia potencjalna na Ziemi:
Energii kinetycznej na Ziemi nie liczymy, bo wynosi ona 0.
Energia potrzebna do umieszczenia satelity na orbicie:
Dla nieskończenie wielkiej wysokości:
Co należało udowodnić.
Pracę wykonaną przez siły zewnętrzne policzysz ze wzoru:
gdzie WZ – praca wykonana przez siły zewnętrzne [J],
Energia potencjalna:
gdzie
G – stała grawitacji [
M, m – masy ciał oddziałujących na siebie [kg],
r – odległość między ciałami [m].
Wzór na energię kinetyczną:
Gdzie v – prędkość ciała [
Energia potencjalna i energia kinetyczna dają nam łącznie energię całkowitą.
Wzór na prędkość satelity krążącej po orbicie ma postać:
Gdzie v – prędkość satelity [
M – masa planety [kg],
G – stała grawitacji [
r – promień orbity [m].
Zadanie 11.1.8.
16Zadanie 11.1.9.
17Zadanie 11.1.10.
17Zadanie 11.2.2.
21Zadanie 11.2.7.
25Zadanie 11.3.14.
33Zadanie 11.3.17.
34Zadanie 11.3.19.
35Zadanie 11.3.20.
35Zadanie 11.3.22.
35Zadanie 11.3.24.
36Zadanie 11.3.25.
36Zadanie 11.3.26.
36Zadanie 11.4.10.
44Zadanie 11.4.11.
44Zadanie 11.4.12.
44Zadanie 11.4.20.
46Zadanie 11.4.22.
46Zadanie 11.5.8.
54Zadanie 11.5.16.
57Zadanie 11.6.1.
66Zadanie 11.6.6.
67Zadanie 11.6.7.
67Zadanie 11.6.11.
68Zadanie 11.6.12.
69Zadanie 11.6.16.
69Zadanie 11.6.22.
70Zadanie 11.6.23.
71Zadanie 11.6.24.
71Zadanie 11.6.25.
71Zadanie 11.6.26.
72Zadanie 11.7.1.
74Zadanie 11.7.3.
75Zadanie 11.7.4.
75