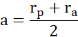
Skorzystaj z danych z tabeli i policz masę czarnej dziury, wokół której krąży opisana gwiazda.
Średnia odległość:
Okres:
Prędkość obiegu gwiazdy wokół czarnej dziury:
Jest równa prędkości na orbicie kołowej:
Przyjmij, że gwiazda krąży wokół czarnej dziury
Masa czarnej dziury:
Masa Słońca:
Wielokrotność masy Słońca:
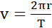
Wzór na prędkość satelity krążącej po orbicie ma postać:
Gdzie v – prędkość satelity [
G – stała grawitacji [
M – masa obiektu, wokół którego krąży satelita [kg],
r – promień orbity [m].
Wzór na prędkość w ruchu obrotowym:
gdzie T – okres obrotu [s].
Zadanie 11.1.8.
16Zadanie 11.1.9.
17Zadanie 11.1.10.
17Zadanie 11.2.2.
21Zadanie 11.2.7.
25Zadanie 11.3.14.
33Zadanie 11.3.17.
34Zadanie 11.3.19.
35Zadanie 11.3.20.
35Zadanie 11.3.22.
35Zadanie 11.3.24.
36Zadanie 11.3.25.
36Zadanie 11.3.26.
36Zadanie 11.4.10.
44Zadanie 11.4.11.
44Zadanie 11.4.12.
44Zadanie 11.4.20.
46Zadanie 11.4.22.
46Zadanie 11.5.8.
54Zadanie 11.5.16.
57Zadanie 11.6.1.
66Zadanie 11.6.6.
67Zadanie 11.6.7.
67Zadanie 11.6.11.
68Zadanie 11.6.12.
69Zadanie 11.6.16.
69Zadanie 11.6.22.
70Zadanie 11.6.23.
71Zadanie 11.6.24.
71Zadanie 11.6.25.
71Zadanie 11.6.26.
72Zadanie 11.7.1.
74Zadanie 11.7.3.
75Zadanie 11.7.4.
75