Policz masę ciała, jeśli energia potencjalna ciała A o masie 3,2 kg znajdującego się na powierzchni Ziemi jest 2 razy większa od wartości energii potencjalnej ciała B, który jest umieszczony na wysokości 3600 km nad powierzchnią Ziemi. Zauważ, że energie potencjalne obu ciał są ujemne, dlatego liczymy ich wartości bezwględne.
Ciało A:
Wysokość:
Ciało B:
Wysokość:
Energia potencjalna ciała A na Ziemi o masie M:
Energia potencjalna ciała B na wysokości H:
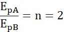
Ile razy się różnią:
Masa ciała B:
Masa ciała B wynosi 2,5 kg.
Energia potencjalna:
gdzie
G – stała grawitacji [
M, m – masy ciał oddziałujących na siebie [kg],
r – odległość między ciałami [m].
Zadanie 11.1.8.
16Zadanie 11.1.9.
17Zadanie 11.1.10.
17Zadanie 11.2.2.
21Zadanie 11.2.7.
25Zadanie 11.3.14.
33Zadanie 11.3.17.
34Zadanie 11.3.19.
35Zadanie 11.3.20.
35Zadanie 11.3.22.
35Zadanie 11.3.24.
36Zadanie 11.3.25.
36Zadanie 11.3.26.
36Zadanie 11.4.10.
44Zadanie 11.4.11.
44Zadanie 11.4.12.
44Zadanie 11.4.20.
46Zadanie 11.4.22.
46Zadanie 11.5.8.
54Zadanie 11.5.16.
57Zadanie 11.6.1.
66Zadanie 11.6.6.
67Zadanie 11.6.7.
67Zadanie 11.6.11.
68Zadanie 11.6.12.
69Zadanie 11.6.16.
69Zadanie 11.6.22.
70Zadanie 11.6.23.
71Zadanie 11.6.24.
71Zadanie 11.6.25.
71Zadanie 11.6.26.
72Zadanie 11.7.1.
74Zadanie 11.7.3.
75Zadanie 11.7.4.
75