Policz okres obiegu planetoidy wokół Słońca, znając długość wielkiej półosi Ziemi, oraz o ile dłuższa jest wielka półoś planetoidy od wielkiej półosi Ziemi
Wielka półoś Ziemi:
Wielka półoś satelity:
Różnica:
Okres obiegu Ziemi:
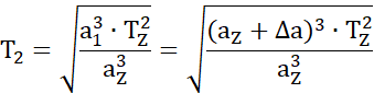
3 prawo Keplera:
3 prawo Keplera mówi, że stosunek kwadratu okresu obiegu planety wokół Słońca do sześcianu średniej odległości od Słońca jest taki sam dla wszystkich planet w naszym Układzie Słonecznym. Możesz również to prawo stosować dla księżyców planet czy innych gwiazd.
Zadanie 11.1.8.
16Zadanie 11.1.9.
17Zadanie 11.1.10.
17Zadanie 11.2.2.
21Zadanie 11.2.7.
25Zadanie 11.3.14.
33Zadanie 11.3.17.
34Zadanie 11.3.19.
35Zadanie 11.3.20.
35Zadanie 11.3.22.
35Zadanie 11.3.24.
36Zadanie 11.3.25.
36Zadanie 11.3.26.
36Zadanie 11.4.10.
44Zadanie 11.4.11.
44Zadanie 11.4.12.
44Zadanie 11.4.20.
46Zadanie 11.4.22.
46Zadanie 11.5.8.
54Zadanie 11.5.16.
57Zadanie 11.6.1.
66Zadanie 11.6.6.
67Zadanie 11.6.7.
67Zadanie 11.6.11.
68Zadanie 11.6.12.
69Zadanie 11.6.16.
69Zadanie 11.6.22.
70Zadanie 11.6.23.
71Zadanie 11.6.24.
71Zadanie 11.6.25.
71Zadanie 11.6.26.
72Zadanie 11.7.1.
74Zadanie 11.7.3.
75Zadanie 11.7.4.
75