Policz średnią odległość Marsa od Słońca, znając okres obiegu tej planety i masę Słońca.
Masa Słońca:
Okres obrotu:
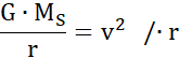
Skoro Mars krąży wokół Słońca swobodnie, to siła grawitacji jest równa sile dośrodkowej.
Siła dośrodkowa:
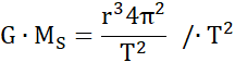
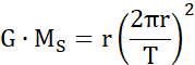
Wiemy, że prędkość możemy wyrazić jako:
Średnia odległość Marsa od Słońca:
Odległość Marsa od Słońca wynosi około 2,28 ∙ 108 km.
Wykorzystaj wzór na siłę przyciągania grawitacyjnego między dwoma ciałami:
gdzie F – siła grawitacji [N],
G – stała grawitacji [
M1 – masa pierwszego ciała [kg],
M2 – masa drugiego ciała [kg],
r – odległość między środkami dwóch ciał [m].
Wzór na siłę dośrodkową ma postać:
gdzie Fo – siła dośrodkowa [N],
m – masa ciała [kg],
v – prędkość ciała [
R – promień, wokół którego obraca się ciało [m].
Wzór na prędkość w ruchu obrotowym:
gdzie T – okres obrotu [s].
Zadanie 11.1.8.
16Zadanie 11.1.9.
17Zadanie 11.1.10.
17Zadanie 11.2.2.
21Zadanie 11.2.7.
25Zadanie 11.3.14.
33Zadanie 11.3.17.
34Zadanie 11.3.19.
35Zadanie 11.3.20.
35Zadanie 11.3.22.
35Zadanie 11.3.24.
36Zadanie 11.3.25.
36Zadanie 11.3.26.
36Zadanie 11.4.10.
44Zadanie 11.4.11.
44Zadanie 11.4.12.
44Zadanie 11.4.20.
46Zadanie 11.4.22.
46Zadanie 11.5.8.
54Zadanie 11.5.16.
57Zadanie 11.6.1.
66Zadanie 11.6.6.
67Zadanie 11.6.7.
67Zadanie 11.6.11.
68Zadanie 11.6.12.
69Zadanie 11.6.16.
69Zadanie 11.6.22.
70Zadanie 11.6.23.
71Zadanie 11.6.24.
71Zadanie 11.6.25.
71Zadanie 11.6.26.
72Zadanie 11.7.1.
74Zadanie 11.7.3.
75Zadanie 11.7.4.
75