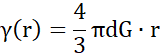
Zapisz zależność natężenia pola grawitacyjnego od odległości r od środka planety , która jest liniowa wtedy, kiedy gdy r ≤ R, gdzie R to promień planety. Gęstość przyjmij jako stałą.
Wzór natężenie grawitacyjne:
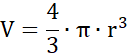
Masę możesz wyrazić jako iloczyn gęstości i objętości:
Objętość kuli:
Wstawiam do wzoru:
Wzór na natężenie pola grawitacyjnego ma postać:
gdzie γ – natężenie pola grawitacyjnego [
G – stała grawitacji [
M – masa planety [kg],
r – odległość od środka planety [m].
Zadanie 11.1.8.
16Zadanie 11.1.9.
17Zadanie 11.1.10.
17Zadanie 11.2.2.
21Zadanie 11.2.7.
25Zadanie 11.3.14.
33Zadanie 11.3.17.
34Zadanie 11.3.19.
35Zadanie 11.3.20.
35Zadanie 11.3.22.
35Zadanie 11.3.24.
36Zadanie 11.3.25.
36Zadanie 11.3.26.
36Zadanie 11.4.10.
44Zadanie 11.4.11.
44Zadanie 11.4.12.
44Zadanie 11.4.20.
46Zadanie 11.4.22.
46Zadanie 11.5.8.
54Zadanie 11.5.16.
57Zadanie 11.6.1.
66Zadanie 11.6.6.
67Zadanie 11.6.7.
67Zadanie 11.6.11.
68Zadanie 11.6.12.
69Zadanie 11.6.16.
69Zadanie 11.6.22.
70Zadanie 11.6.23.
71Zadanie 11.6.24.
71Zadanie 11.6.25.
71Zadanie 11.6.26.
72Zadanie 11.7.1.
74Zadanie 11.7.3.
75Zadanie 11.7.4.
75