Policz okres obrotu tej planetoidy.
Promień planety:
Gęstość:
Masa:
Siła odśrodkowa:
Prędkość w ruchu obrotowym:
Siła ciężkości na biegunie:
Siła ciężkości na równiku:
Iloraz:
Okres:
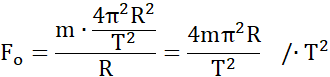
Wzór na siłę odśrodkową ma postać:
gdzie Fo – siła odśrodkowa [N],
m – masa ciała [kg],
v – prędkość ciała [
R – promień, wokół którego obraca się ciało [m].
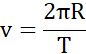
Wzór na prędkość w ruchu obrotowym:
gdzie T – okres obrotu [s].
Siła odśrodkowa zmniejsza ciężar ciała na równiku. Na biegunie siła ta jest równa zero, bo przez biegun przechodzi oś obrotu (R = 0).
Zadanie 11.1.8.
16Zadanie 11.1.9.
17Zadanie 11.1.10.
17Zadanie 11.2.2.
21Zadanie 11.2.7.
25Zadanie 11.3.14.
33Zadanie 11.3.17.
34Zadanie 11.3.19.
35Zadanie 11.3.20.
35Zadanie 11.3.22.
35Zadanie 11.3.24.
36Zadanie 11.3.25.
36Zadanie 11.3.26.
36Zadanie 11.4.10.
44Zadanie 11.4.11.
44Zadanie 11.4.12.
44Zadanie 11.4.20.
46Zadanie 11.4.22.
46Zadanie 11.5.8.
54Zadanie 11.5.16.
57Zadanie 11.6.1.
66Zadanie 11.6.6.
67Zadanie 11.6.7.
67Zadanie 11.6.11.
68Zadanie 11.6.12.
69Zadanie 11.6.16.
69Zadanie 11.6.22.
70Zadanie 11.6.23.
71Zadanie 11.6.24.
71Zadanie 11.6.25.
71Zadanie 11.6.26.
72Zadanie 11.7.1.
74Zadanie 11.7.3.
75Zadanie 11.7.4.
75