Skul.pl
  • Opracowania zadań z podręczników
  • Fizyka. Klasa 7. Podręcznik - rozwiązania i odpowiedzi
  • Zadanie 10

Fizyka. Klasa 7. Podręcznik - rozwiązania i odpowiedzi

Zeszyt ćwiczeń, Wydawnictwo: MAC
Poprzednie

Zadanie 10 - strona 132

Następne

Zadanie

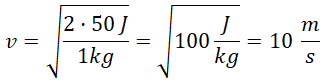
W tym zadaniu musisz obliczyć szybkość ciała w podanym położeniu.

Rozwiązanie

Odpowiedź: Ciało osiągnęło szybkość 10 .

Skul

Wyjaśnienie

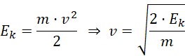
Energia kinetyczna jest proporcjonalna do kwadratu szybkości. Przekształć wzór tak, by po jednej stronie została tylko szybkość, zaś po drugiej znane wartości. Odwołaj się do obliczonej wcześniej masy (zad. 5 str. 132).

Poprzednie
Następne

Fizyka - wybrane pytania

Pytanie 19.1, strona 111, Fizyka. Klasa 4. Zakres rozszerzony. Zbiór zadań - rozwiązania i odpowiedzi
Zadanie 5, strona 77, Fizyka. Klasa 4. Poziom rozszerzony. Podręcznik - rozwiązania i odpowiedzi
Zadanie 14, strona 16, Fizyka. Klasy 1-3. Zakres podstawowy. Zbiór zadań - rozwiązania i odpowiedzi
Zadanie 12., strona 214, Zrozumieć fizykę 4. Zakres rozszerzony. Zbiór zadań - rozwiązania i odpowiedzi
Zadanie 2.5., strona 10, Fizyka. Klasa 7-8. Zbiór zadań - rozwiązania i odpowiedzi
Ćwiczenie 2., strona 10, Fizyka. Świat fizyki. Klasa 8. Zeszyt ćwiczeń - rozwiązania i odpowiedzi
Ćwiczenie 1., strona 44, Świat fizyki. Klasa 7. Zeszyt ćwiczeń - rozwiązania i odpowiedzi
Zadanie 3., strona 50, Świat fizyki. Klasa 8. Podręcznik - rozwiązania i odpowiedzi
Zadanie 5.1.7., strona 174, Zrozumieć fizykę. Klasa 1. Zakres rozszerzony. Zbiór zadań - rozwiązania i odpowiedzi
Zadanie 48.4., strona 176, Zbiór zadań z fizyki dla szkoły podstawowej. Klasa 7-8 - rozwiązania i odpowiedzi
REKLAMA
Skul
Zadania z tego działu
7. Praca, moc, energia
116
7.1 Energia i jej rodzaje
116

Zadanie 1

116

Zadanie 2

116

Zadanie 3

117

Podpunkt a)

117

Podpunkt b)

117

Podpunkt c)

117

Zadanie 4

117

Zadanie 5

117
7.2 Praca i jej jednostki
118

Zadanie 1

118

Zadanie 2

118

Zadanie 3

118

Zadanie 4

119

Zadanie 5

119

Zadanie 6

119

Zadanie 7

119

Zadanie 8

120

Zadanie 9

120

Zadanie 10

120
7.3 Moc i jej jednostki
121

Zadanie 1

121

Zadanie 2

121

Zadanie 3

121

Zadanie 4

121

Zadanie 5

122

Zadanie 6

122

Zadanie 7

122

Zadanie 8

122
7.4 Energia mechaniczna
123

Zadanie 1

123

Zadanie 2

123

Zadanie 3

123

Zadanie 4

123

Zadanie 5

124

Zadanie 6

124

Zadanie 7

124
7.5 Energia potencjalna grawitacji i sprężystości
125

Zadanie 1

125

Podpunkt a)

125

Podpunkt b)

125

Zadanie 2

125

Zadanie 3

125

Zadanie 4

126

Zadanie 5

126
7.6 Energia kinetyczna
127

Zadanie 1

127

Podpunkt a)

127

Podpunkt b)

127

Zadanie 2

127

Zadanie 3

127

Zadanie 4

128

Zadanie 5

128

Zadanie 6

128

Zadanie 7

129

Zadanie 8

129
7.7 Zasada zachowania energii mechanicznej
130

Zadanie 1

130

Zadanie 2

130

Zadanie 3

130

Zadanie 4

131

Zadanie 5

131

Zadanie 6

131

Zadanie 7

131

Zadanie 8

132

Zadanie 9

132

Zadanie 10

132

Zadanie 11

132

Zadanie 12

132

Zadanie 13

133

Zadanie 14

133
Podsumowanie działu 7
134

Zadanie 1

134

Zadanie 2

134

Zadanie 3

134

Zadanie 4

134

Zadanie 5

134

Zadanie 6

134

Zadanie 7

135

Zadanie 8

135

Zadanie 9

135

Zadanie 10

136

Zadanie 11

136

Zadanie 12

136
Pełny spis treści
Skul
Artboard 1
Skul.pl
  • Napisz do nas
  • FAQ
  • Mapa Serwisu
  • Google Play
  • App Store

Korzystanie z portalu oznacza akceptację Regulaminu.
Polityka prywatności. Ustawienia preferencji. Copyright: INTERIA.PL 1999-2023 Wszystkie prawa zastrzeżone.