Skul.pl
  • Opracowania zadań z podręczników
  • Fizyka. Klasa 7. Podręcznik - rozwiązania i odpowiedzi
  • Zadanie 3

Fizyka. Klasa 7. Podręcznik - rozwiązania i odpowiedzi

Zeszyt ćwiczeń, Wydawnictwo: MAC
Poprzednie

Zadanie 3 - strona 130

Następne

Zadanie

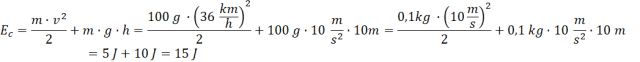
W tym zadaniu musisz obliczyć energię mechaniczną kosa lecącego na określonej wysokości.

Rozwiązanie

Odpowiedź: Kos ma energię mechaniczną (całkowitą) równą 15 J.

Skul

Wyjaśnienie

Energia mechaniczna całkowita jest sumą energii kinetycznej i potencjalnej. Oblicz poszczególne energie, a następnie dodaj je do siebie.

Poprzednie
Następne

Fizyka - wybrane pytania

Zadanie Więcej 1., strona 47, Fizyka z plusem. Klasa 8. Podręcznik - rozwiązania i odpowiedzi
Zadanie 6.40., strona 87, Fizyka. Klasa 7-8. Zbiór zadań - rozwiązania i odpowiedzi
Ćwiczenie 10.4., strona 142, Fizyka. Klasa 1-3. Zakres podstawowy. Zbiór zadań - rozwiązania i odpowiedzi
Zadanie 3., strona 207, Fizyka. Klasa 7-8. Zbiór zadań - rozwiązania i odpowiedzi
Zadanie 19.2, strona 68, Fizyka. Klasa 2. Zakres rozszerzony. Zbiór zadań - rozwiązania i odpowiedzi
Zadanie 62.5., strona 241, Zbiór zadań z fizyki dla szkoły podstawowej. Klasa 7-8 - rozwiązania i odpowiedzi
Zadanie 1., strona 106, Fizyka. Klasa 2. Podręcznik. Zakres podstawowy - rozwiązania i odpowiedzi
Zadanie 3.2.12., strona 86, Zrozumieć fizykę. Klasa 1. Zakres rozszerzony. Zbiór zadań - rozwiązania i odpowiedzi
Zadanie 50., strona 45, Fizyka. Klasa 7-8. Zbiór zadań - rozwiązania i odpowiedzi
Zadanie 1, strona 77, Spotkania z fizyką. Klasa 7. Podręcznik - rozwiązania i odpowiedzi
REKLAMA
Skul
Zadania z tego działu
7. Praca, moc, energia
116
7.1 Energia i jej rodzaje
116

Zadanie 1

116

Zadanie 2

116

Zadanie 3

117

Podpunkt a)

117

Podpunkt b)

117

Podpunkt c)

117

Zadanie 4

117

Zadanie 5

117
7.2 Praca i jej jednostki
118

Zadanie 1

118

Zadanie 2

118

Zadanie 3

118

Zadanie 4

119

Zadanie 5

119

Zadanie 6

119

Zadanie 7

119

Zadanie 8

120

Zadanie 9

120

Zadanie 10

120
7.3 Moc i jej jednostki
121

Zadanie 1

121

Zadanie 2

121

Zadanie 3

121

Zadanie 4

121

Zadanie 5

122

Zadanie 6

122

Zadanie 7

122

Zadanie 8

122
7.4 Energia mechaniczna
123

Zadanie 1

123

Zadanie 2

123

Zadanie 3

123

Zadanie 4

123

Zadanie 5

124

Zadanie 6

124

Zadanie 7

124
7.5 Energia potencjalna grawitacji i sprężystości
125

Zadanie 1

125

Podpunkt a)

125

Podpunkt b)

125

Zadanie 2

125

Zadanie 3

125

Zadanie 4

126

Zadanie 5

126
7.6 Energia kinetyczna
127

Zadanie 1

127

Podpunkt a)

127

Podpunkt b)

127

Zadanie 2

127

Zadanie 3

127

Zadanie 4

128

Zadanie 5

128

Zadanie 6

128

Zadanie 7

129

Zadanie 8

129
7.7 Zasada zachowania energii mechanicznej
130

Zadanie 1

130

Zadanie 2

130

Zadanie 3

130

Zadanie 4

131

Zadanie 5

131

Zadanie 6

131

Zadanie 7

131

Zadanie 8

132

Zadanie 9

132

Zadanie 10

132

Zadanie 11

132

Zadanie 12

132

Zadanie 13

133

Zadanie 14

133
Podsumowanie działu 7
134

Zadanie 1

134

Zadanie 2

134

Zadanie 3

134

Zadanie 4

134

Zadanie 5

134

Zadanie 6

134

Zadanie 7

135

Zadanie 8

135

Zadanie 9

135

Zadanie 10

136

Zadanie 11

136

Zadanie 12

136
Pełny spis treści
Skul
Artboard 1
Skul.pl
  • Napisz do nas
  • FAQ
  • Mapa Serwisu
  • Google Play
  • App Store

Korzystanie z portalu oznacza akceptację Regulaminu.
Polityka prywatności. Ustawienia preferencji. Copyright: INTERIA.PL 1999-2023 Wszystkie prawa zastrzeżone.