Skul.pl
  • Opracowania zadań z podręczników
  • Fizyka. Klasa 7. Podręcznik - rozwiązania i odpowiedzi
  • Zadanie 2

Fizyka. Klasa 7. Podręcznik - rozwiązania i odpowiedzi

Zeszyt ćwiczeń, Wydawnictwo: MAC
Poprzednie

Zadanie 2 - strona 130

Następne

Zadanie

W tym zadaniu musisz określić, na jaką wysokość wzniesie się śnieżka wyrzucona do góry.

Rozwiązanie

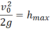
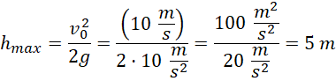
Z zasady zachowania energii:

Zatem, dla skrajnych punktów ruchu:

Odpowiedź: Śnieżka wzniesie się na wysokość 5 m.

Skul

Wyjaśnienie

Energia kinetyczna na początku ruchu jest maksymalna, a potencjalna minimalna (równa zero). Na wysokości maksymalnej energia kinetyczna jest równa zero, zaś potencjalna jest maksymalna.

Poprzednie
Następne

Fizyka - wybrane pytania

Zadanie 2., strona 201, Odkryć fizykę. Klasa 2. Podręcznik. Zakres podstawowy - rozwiązania i odpowiedzi
Zadanie 2, strona 229, To jest fizyka. Klasa 7. Podręcznik - rozwiązania i odpowiedzi
Zadanie 7.6.4., strona 46, Zrozumieć fizykę. Klasa 2. Zakres rozszerzony. Zbiór zadań - rozwiązania i odpowiedzi
Zadanie 5.14., strona 37, Świat fizyki. Klasa 7. Zbiór zadań - rozwiązania i odpowiedzi
Zadanie 4, strona 42, To jest fizyka. Klasa 7. Podręcznik - rozwiązania i odpowiedzi
Zadanie sprawdzające 13., strona 215, Świat fizyki. Klasa 8. Podręcznik - rozwiązania i odpowiedzi
Zadanie 3., strona 146, Fizyka. Klasa 2. Podręcznik. Zakres podstawowy - rozwiązania i odpowiedzi
Zadanie 4., strona 139, Odkryć fizykę. Klasa 2. Podręcznik. Zakres podstawowy - rozwiązania i odpowiedzi
Zadanie 1, strona 8, To jest fizyka. Klasa 8. Zeszyt ćwiczeń - rozwiązania i odpowiedzi
Zadanie 1., strona 275, Spotkania z fizyką. Klasa 8. Podręcznik - rozwiązania i odpowiedzi
REKLAMA
Skul
Zadania z tego działu
7. Praca, moc, energia
116
7.1 Energia i jej rodzaje
116

Zadanie 1

116

Zadanie 2

116

Zadanie 3

117

Podpunkt a)

117

Podpunkt b)

117

Podpunkt c)

117

Zadanie 4

117

Zadanie 5

117
7.2 Praca i jej jednostki
118

Zadanie 1

118

Zadanie 2

118

Zadanie 3

118

Zadanie 4

119

Zadanie 5

119

Zadanie 6

119

Zadanie 7

119

Zadanie 8

120

Zadanie 9

120

Zadanie 10

120
7.3 Moc i jej jednostki
121

Zadanie 1

121

Zadanie 2

121

Zadanie 3

121

Zadanie 4

121

Zadanie 5

122

Zadanie 6

122

Zadanie 7

122

Zadanie 8

122
7.4 Energia mechaniczna
123

Zadanie 1

123

Zadanie 2

123

Zadanie 3

123

Zadanie 4

123

Zadanie 5

124

Zadanie 6

124

Zadanie 7

124
7.5 Energia potencjalna grawitacji i sprężystości
125

Zadanie 1

125

Podpunkt a)

125

Podpunkt b)

125

Zadanie 2

125

Zadanie 3

125

Zadanie 4

126

Zadanie 5

126
7.6 Energia kinetyczna
127

Zadanie 1

127

Podpunkt a)

127

Podpunkt b)

127

Zadanie 2

127

Zadanie 3

127

Zadanie 4

128

Zadanie 5

128

Zadanie 6

128

Zadanie 7

129

Zadanie 8

129
7.7 Zasada zachowania energii mechanicznej
130

Zadanie 1

130

Zadanie 2

130

Zadanie 3

130

Zadanie 4

131

Zadanie 5

131

Zadanie 6

131

Zadanie 7

131

Zadanie 8

132

Zadanie 9

132

Zadanie 10

132

Zadanie 11

132

Zadanie 12

132

Zadanie 13

133

Zadanie 14

133
Podsumowanie działu 7
134

Zadanie 1

134

Zadanie 2

134

Zadanie 3

134

Zadanie 4

134

Zadanie 5

134

Zadanie 6

134

Zadanie 7

135

Zadanie 8

135

Zadanie 9

135

Zadanie 10

136

Zadanie 11

136

Zadanie 12

136
Pełny spis treści
Skul
Artboard 1
Skul.pl
  • Napisz do nas
  • FAQ
  • Mapa Serwisu
  • Google Play
  • App Store

Korzystanie z portalu oznacza akceptację Regulaminu.
Polityka prywatności. Ustawienia preferencji. Copyright: INTERIA.PL 1999-2023 Wszystkie prawa zastrzeżone.