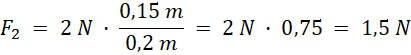
Aby dźwignia pozostała w równowadze należy zadziałać z siłą
Przelicz znane wartości na jednostki podstawowe układu SI.
20 dag = 0,2 kg
15 cm = 0,15 m
20 cm = 0,2 m
Zapisz równanie równowagi dźwigni i podstaw znane dane. Siła działająca na lewe ramię dźwigni, to ciężar odważnika.
F1 · r1 = F2 · r2