Elektrownia ma sprawność 50%.
W elektrowni wodnej energia potencjalna wody jest zmieniana na energię kinetyczną turbiny, a następnie na energię elektryczną.
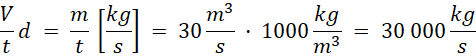
W pierwszej kolejności możesz obliczyć moc przepływającego strumienia wody. Znasz strumień objętościowy przepływu, czyli jaka objętość wody przepływa w czasie 1 s, możesz go przeliczyć na strumień masowy, a następnie policzyć z tego moc płynącej wody.
Moc elektrowni wynosi 1,5 MW, sprawność jest określona jako stosunek energii uzyskanej do możliwej do uzyskania, czyli: