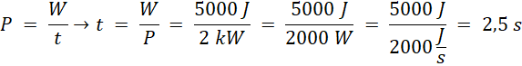
Oblicz w jakim czasie silnik wykona podaną pracę.
A. 2,5 s
Moc urządzenia (P), to wartość pracy (W) jaką wykona w czasie 1 s (t). Przekształcając tę definicję możesz wyznaczyć czas w jakim silnik wykona podaną pracę.
Ćwiczenie Ćwiczenie A.
Ćwiczenie Ćwiczenie B.
Zadanie 1
Zadanie 2
Zadanie 3
Podpunkt a)
Podpunkt b)
Podpunkt c)
Zadanie 4
Ćwiczenie Doświadczenie
Zadanie 5
Podpunkt d)
Ćwiczenie Doświadczenie 2
Zadanie 6
Ćwiczenie Doświadczenie: Mocne nerwy
Ćwiczenie Ćwiczenie
Ćwiczenie Doświadczenie: Linijka jako waga
Ćwiczenie Doświadczenie: Dwa kubeczki
Ćwiczenie Test 1. – To musisz umieć
Podpunkt 1.
Podpunkt 2.
Podpunkt 3.
Podpunkt 4.
Podpunkt 5.
Podpunkt 6.
Podpunkt 7.
Podpunkt 8.
Ćwiczenie Test 2. – Dobrze, jeśli to umiesz
Ćwiczenie Test 3. – To warto umieć
Ćwiczenie Test 4. – Świetnie, jeśli to umiesz