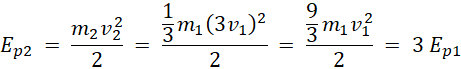
Energia kinetyczna furgonetki wynosi Ep1.
Energia kinetyczna wyścigówki wynosi 3Ep1.
Większą energię kinetyczną może mieć wyścigówka.
Furgonetka może osiągać prędkość v1 oraz ma masę m1, oznacza to, że może mieć energię kinetyczną:
Natomiast wyścigówka może osiągać 3 razy większą prędkość v2 = 3v1 i ma masę
Wyścigówka może mieć 3 razy większą energię kinetyczną niż furgonetka.