Oblicz z II. zasady dynamiki wartość przyspieszenia hamującego. Z definicji przyspieszenia wiesz, że samochód w ciągu każdej sekundy zwolni o
Następnie oblicz drogę z wzoru dla ruchu jednostajnie przyspieszonego:
Zamień prędkość na metry na sekundę:
Z definicji przyspieszenia możesz obliczyć czas w jakim samochód będzie hamował. Wartość przyspieszenia hamującego samochód wynika z II. zasady dynamiki:
Z definicji przyspieszenia wiesz, że samochód w ciągu każdej sekundy zwolni o
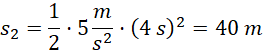
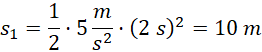
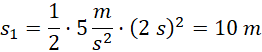
Drogę w ruchu jednostajnie przyspieszonym obliczysz z wzoru:
Stosując analogiczne rozumowanie możesz obliczyć drogę hamowania w czasie hamowania od dwukrotnie większej prędkości.