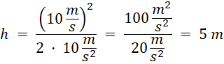
C. 5 m
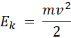
Zakładając brak oporów ruchu w czasie wznoszenia będziesz mógł przyjąć, że cała energia kinetyczna w chwili początkowej ruchu kamienia zmieni się w energię potencjalną.
Ep = Ek
Ciało wzniesie się na wysokość: