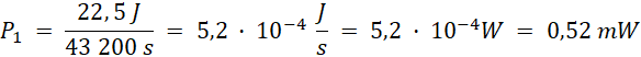
Napęd zegara ma moc 0,52 mW.
Zauważ, że obciążnik napędzający mechanizm zmienia swoje położenie w ciągu 12 godzin, oznacza to, że w tym czasie maleje jego energia potencjalna, która jest wykorzystywana do napędzenia mechanizmu zegara.
Zgodnie ze wskazówką moc napędu będzie równa zmianie energii potencjalnej w czasie 1 s.
Zmiana energii potencjalnej odbywa się na drodze 90 cm, czyli 0,9 m i wynosi:
Odbywa się ona w czasie 12 godzin, czyli 12 · 3600 s = 43 200 s
W takim razie moc napędu wyniesie: