Żółty samochód wjechał w drzewo z prędkością
Oba samochody w chwili rozpoczęcia hamowania mieli pewną energię kinetyczną. Niebieskiemu samochodowi udało się wyhamować zanim zderzył się z drzewem, to znaczy, że wykonał pracę hamowania równą początkowej energii kinetycznej. Taką samą pracę wykonał hamując samochód niebieski, czyli w chwili zderzenia z drzewem miał energię kinetyczną pomniejszoną o tę pracę. (powyższe rozumowanie jest prawdziwe, tylko w przypadku, gdy oba samochody mają tę samą masę, jednak brak informacji o tej właściwości).
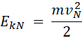
Oblicz energię kinetyczną niebieskiego samochodu w chwili początkowej hamowania:
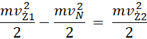
Zapisz równanie opisujące energię żółtego samochodu w czasie hamowania (energia kinetyczna samochodu w chwili zderzenia jest równa energii kinetycznej na początku hamowania pomniejszonej o pracę hamowania):
Pomnóż obustronnie równanie przez (
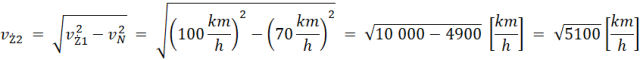
Z uzyskanego równania możesz wyznaczyć wartość prędkości żółtego samochodu w chwili zderzenia z drzewem (vŻ2):