Po kilku dniach krążenia nastąpiła deorbitacja sondy, dzięki czemu spadła ona na powierzchnię Księżyca w punkcie C. Policz, z jaką prędkością sonda uderzyła o Księżyc.
Promienie orbity:
Z zasady zachowania momentu pędu:
vK – prędkość, kiedy sonda uderzy w Księżyc
v2K – prędkość w dolnym punkcie (na drugim zdjęciu)
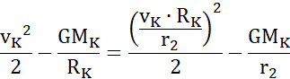
Z zasady zachowania energii:
Satelita uderzyła w Księżyc z prędkością
Wzór na prędkość satelity krążącej po orbicie kołowej ma postać:
Gdzie v – prędkość satelity [
M – masa planety [kg],
G – stała grawitacji [
r – promień orbity [m].
Moment pędu obliczysz ze wzoru:
gdzie L – moment pędu [
m – masa ciała [kg],
v – prędkość ciała [
r – promień wodzący [m],
α – kąt między promieniem wodzącym a wektorem prędkości.
Peryselenium to miejsce, w którym znajduje się ciało niebieskie, kiedy znajduje się najbliżej Księżyca.
Aposelenium to miejsce, w którym znajduje się ciało niebieskie, kiedy znajduje się najdalej od Księżyca.
Zasada zachowania energii mówi, że całkowita energia w układzie nie ulega zmianie.
Energia całkowita to suma energii potencjalnej i kinetycznej w danym punkcie.
Zadanie 11.1.8.
16Zadanie 11.1.9.
17Zadanie 11.1.10.
17Zadanie 11.2.2.
21Zadanie 11.2.7.
25Zadanie 11.3.14.
33Zadanie 11.3.17.
34Zadanie 11.3.19.
35Zadanie 11.3.20.
35Zadanie 11.3.22.
35Zadanie 11.3.24.
36Zadanie 11.3.25.
36Zadanie 11.3.26.
36Zadanie 11.4.10.
44Zadanie 11.4.11.
44Zadanie 11.4.12.
44Zadanie 11.4.20.
46Zadanie 11.4.22.
46Zadanie 11.5.8.
54Zadanie 11.5.16.
57Zadanie 11.6.1.
66Zadanie 11.6.6.
67Zadanie 11.6.7.
67Zadanie 11.6.11.
68Zadanie 11.6.12.
69Zadanie 11.6.16.
69Zadanie 11.6.22.
70Zadanie 11.6.23.
71Zadanie 11.6.24.
71Zadanie 11.6.25.
71Zadanie 11.6.26.
72Zadanie 11.7.1.
74Zadanie 11.7.3.
75Zadanie 11.7.4.
75