Policz, ile energii wydzieli się podczas zderzenia sondy o masie 200 kg z powierzchnią Księżyca, jeżeli całość energii zamieniła się w ciepło.
Masa:
Prędkość:
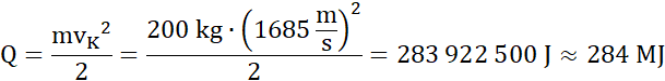
Całość energii kinetycznej ciała zamieniła się na ciepło:
Wydzieliło się 284 megadżuli ciepła.
Wzór na energię kinetyczną:
Ek – energia kinetyczna [J],
m – masa ciała [kg],
Gdzie v – prędkość ciała [
Załóż, że po uderzeniu w Księżyc energia kinetyczna satelity jest równa 0, a cała energia kinetyczna zostanie zamieniona w ciepło.
Zadanie 11.1.8.
16Zadanie 11.1.9.
17Zadanie 11.1.10.
17Zadanie 11.2.2.
21Zadanie 11.2.7.
25Zadanie 11.3.14.
33Zadanie 11.3.17.
34Zadanie 11.3.19.
35Zadanie 11.3.20.
35Zadanie 11.3.22.
35Zadanie 11.3.24.
36Zadanie 11.3.25.
36Zadanie 11.3.26.
36Zadanie 11.4.10.
44Zadanie 11.4.11.
44Zadanie 11.4.12.
44Zadanie 11.4.20.
46Zadanie 11.4.22.
46Zadanie 11.5.8.
54Zadanie 11.5.16.
57Zadanie 11.6.1.
66Zadanie 11.6.6.
67Zadanie 11.6.7.
67Zadanie 11.6.11.
68Zadanie 11.6.12.
69Zadanie 11.6.16.
69Zadanie 11.6.22.
70Zadanie 11.6.23.
71Zadanie 11.6.24.
71Zadanie 11.6.25.
71Zadanie 11.6.26.
72Zadanie 11.7.1.
74Zadanie 11.7.3.
75Zadanie 11.7.4.
75