Policz, w jakiej odległości od dwóch planet potencjały grawitacyjne pochodzące od obu planet będą jednakowe.
Średnia odległość między dwiema planetami
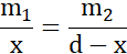
Masy:
Potencjał grawitacyjny dla planety 1 w odległości x od środka planety:
Potencjał grawitacyjny dla planety 2 w tym samym punkcie:
Potencjały będą równe w odległości x od mniejszej planety:
Wzór na potencjał grawitacyjny ma postać:
gdzie G – stała grawitacji [
V – potencjał grawitacyjny
M – masa ciała [kg],
R – promień tego ciała [m] (jeśli mówisz o przyspieszeniu przy powierzchni planety – jeśli nie, to bierzesz pod uwagę odległość od środka planety).
Zadanie 11.1.8.
16Zadanie 11.1.9.
17Zadanie 11.1.10.
17Zadanie 11.2.2.
21Zadanie 11.2.7.
25Zadanie 11.3.14.
33Zadanie 11.3.17.
34Zadanie 11.3.19.
35Zadanie 11.3.20.
35Zadanie 11.3.22.
35Zadanie 11.3.24.
36Zadanie 11.3.25.
36Zadanie 11.3.26.
36Zadanie 11.4.10.
44Zadanie 11.4.11.
44Zadanie 11.4.12.
44Zadanie 11.4.20.
46Zadanie 11.4.22.
46Zadanie 11.5.8.
54Zadanie 11.5.16.
57Zadanie 11.6.1.
66Zadanie 11.6.6.
67Zadanie 11.6.7.
67Zadanie 11.6.11.
68Zadanie 11.6.12.
69Zadanie 11.6.16.
69Zadanie 11.6.22.
70Zadanie 11.6.23.
71Zadanie 11.6.24.
71Zadanie 11.6.25.
71Zadanie 11.6.26.
72Zadanie 11.7.1.
74Zadanie 11.7.3.
75Zadanie 11.7.4.
75