H = 45 m
Prędkość w kierunku poziomym:
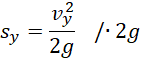
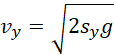
Prędkość w kierunku pionowym:
Prędkość:
Kierunek wektora prędkości:
Z tablic:
Prędkość w kierunku poziomym się nie zmienia. Prędkość w kierunku pionowym wyznaczasz z ruchu przyspieszonego. Następnie wykorzystujesz zależność między wartością prędkości a jej składowymi, aby wyznaczyć prędkość uderzenia w ziemię, a także kąt, pod jakim to nastąpiło.