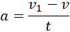
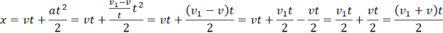
Masz narysowany tor żużlowy i podane jego parametry. Wiadomo też, że zakręt można wykonać z prędkością poniżej 57,6 . Po wyjściu z zakrętu po 2 sekundach motocyklista osiąga już prędkość . Wyznacz, jaką w tym czasie przebędzie drogę.
Rozwiązanie
s = 325 m
= 62 m
R = 31 m
d = 1 m
Wyjaśnienie
Korzystasz ze wzoru na drogę w ruchu przyspieszonym. Przyspieszenie to różnica prędkości, z jaką jechał żużlowiec w jednostce czasu.