Zadanie

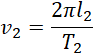
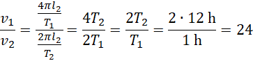
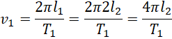
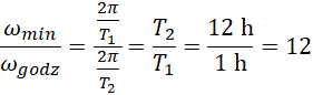
Oblicz, jaki jest stosunek prędkości liniowych oraz stosunek prędkości kątowych wskazówek minutowej i godzinowej, jeśli pierwsza z nich jest dwa razy dłuższa od drugiej. Okres ich obrotu to 60 minut dla wskazówki minutowej oraz 12 godzin dla wskazówki godzinowej.

Rozwiązanie

Wyjaśnienie

Zadania z tego działu
3. Ruch krzywoliniowy
68