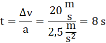
Zmiana prędkości:
Przyspieszenie (opóźnienie):
Przyspieszenie (opóźnienie):
Czas hamowania:
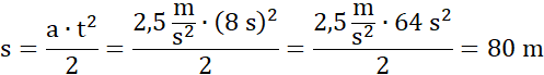
Droga hamowania:
Czas hamowania samochodu wynosił 8 sekund, a droga hamowania – 80 metrów.
By obliczyć przyspieszenie, wykorzystaj wzór:
gdzie
t – czas [s],
a – przyspieszenie
Wzór na drogę w ruchu jednostajnie przyspieszonym/opóźnionym ma postać:
gdzie s – droga [m],
t – czas [s],
a – przyspieszenie [