Droga w ruchu jednostajnie przyspieszonym:
W pierwszej sekundzie:
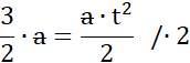
Droga ma być 3x większa:
W której sekundzie:
W drugiej sekundzie droga będzie 3 razy większa od drogi przebytej w pierwszej sekundzie.
Wzór na drogę w ruchu jednostajnie przyspieszonym ma postać:
gdzie s – droga [m],
t – czas [s],
a – przyspieszenie [