Skul.pl
  • Opracowania zadań z podręczników
  • Fizyka. Klasa 7-8. Zbiór zadań - rozwiązania i odpowiedzi
  • Zadanie 6.59.

Fizyka. Klasa 7-8. Zbiór zadań - rozwiązania i odpowiedzi

Zbiór zadań, Wydawnictwo: WSiP
Poprzednie

Zadanie 6.59. - strona 91

Następne

Zadanie

Na podstawie wykresu 6.15 oblicz przyspieszenie ciała po 4 sekundach i po 8 sekundach ruchu. Narysuj wykres zależności przyspieszenia od czasu tego ciała.

Rozwiązanie

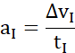
I:

Zmiana prędkości:

Czas:

Przyspieszenie:

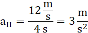
II:

Zmiana prędkości:

Czas:

Przyspieszenie:

zoom

Skul

Wyjaśnienie

Przyspieszenie w ruchu jednostajnie przyspieszonym jest stałe, jeżeli prędkość rośnie w tym samym tempie.

Poprzednie
Następne

Fizyka - wybrane pytania

Zadanie 9.4.21., strona 163, Zrozumieć fizykę. Klasa 2. Zakres rozszerzony. Zbiór zadań - rozwiązania i odpowiedzi
Zadanie 61.7., strona 237, Zbiór zadań z fizyki dla szkoły podstawowej. Klasa 7-8 - rozwiązania i odpowiedzi
Ćwiczenie 8., strona 43, Świat fizyki. Klasa 8. Zbiór zadań - rozwiązania i odpowiedzi
Zadanie 4, strona 84, Spotkania z fizyką. Klasa 7. Podręcznik - rozwiązania i odpowiedzi
Zadanie 3., strona 28, Fizyka z plusem. Klasa 8. Podręcznik - rozwiązania i odpowiedzi
Ćwiczenie doświadczenie 2., strona 76, Fizyka. To jest fizyka. Klasa 8. Podręcznik - rozwiązania i odpowiedzi
Zadanie 19.14, strona 291, Zrozumieć fizykę 4. Zakres rozszerzony. Zbiór zadań - rozwiązania i odpowiedzi
Zadanie 18.7., strona 65, Zbiór zadań z fizyki dla szkoły podstawowej. Klasa 7-8 - rozwiązania i odpowiedzi
Zadanie 19.2.12, strona 289, Zrozumieć fizykę 4. Zakres rozszerzony. Zbiór zadań - rozwiązania i odpowiedzi
Zadanie 12.5., strona 155, Fizyka. Klasa 7-8. Zbiór zadań - rozwiązania i odpowiedzi
REKLAMA
Skul
Zadania z tego działu
Ruchy ciał (kinematyka)
80
Ruch i jego względność
80

Zadanie 6.1.

80

Zadanie 6.2.

80

Zadanie 6.3.

80

Zadanie 6.4.

80

Zadanie 6.5.

80

Zadanie 6.6.

80

Zadanie 6.7.

81

Zadanie 6.8.

81

Zadanie 6.9.

81

Zadanie 6.10.

82
Ruch jednostajny prostoliniowy
82

Zadanie 6.11.

82

Zadanie 6.12.

83

Zadanie 6.13.

83

Zadanie 6.14.

83

Zadanie 6.15.

83

Zadanie 6.16.

83

Zadanie 6.17.

83

Zadanie 6.18.

83

Zadanie 6.19.

83

Zadanie 6.20.

83

Zadanie 6.21.

83

Zadanie 6.22.

84

Zadanie 6.23.

84

Zadanie 6.24.

84

Zadanie 6.25.

84

Zadanie 6.26.

84

Zadanie 6.27.

84

Zadanie 6.28.

84

Zadanie 6.29.

84

Zadanie 6.30.

85

Zadanie 6.31.

85

Zadanie 6.32.

85

Zadanie 6.33.

85

Zadanie 6.34.

86

Zadanie 6.35.

86

Zadanie 6.36.

86

Zadanie 6.37.

86

Zadanie 6.38.

87

Zadanie 6.39.

87

Zadanie 6.40.

87

Zadanie 6.41.

87

Zadanie 6.42.

88

Zadanie 6.43.

88

Zadanie 6.44.

88

Zadanie 6.45.

88

Zadanie 6.46.

88
Ruch zmienny
89

Zadanie 6.47.

89

Zadanie 6.48.

89

Zadanie 6.49.

89

Zadanie 6.50.

89

Zadanie 6.51.

89

Zadanie 6.52.

89

Zadanie 6.53.

89

Zadanie 6.54.

90

Zadanie 6.55.

90

Zadanie 6.56.

90

Zadanie 6.57.

91

Zadanie 6.58.

91

Zadanie 6.59.

91

Zadanie 6.60.

92

Zadanie 6.61.

92

Zadanie 6.62.

92

Zadanie 6.63.

92

Zadanie 6.64.

92

Zadanie 6.65.

92

Zadanie 6.66.

92

Zadanie 6.67.

92

Zadanie 6.68.

93

Zadanie 6.69.

93

Zadanie 6.70.

93

Zadanie 6.71.

93

Zadanie 6.72.

94

Zadanie 6.73.

94

Zadanie 6.74.

94

Zadanie 6.75.

94

Zadanie 6.76.

95

Zadanie 6.77.

95

Zadanie 6.78.

95
Pełny spis treści
Skul
Artboard 1
Skul.pl
  • Napisz do nas
  • FAQ
  • Mapa Serwisu
  • Google Play
  • App Store

Korzystanie z portalu oznacza akceptację Regulaminu.
Polityka prywatności. Ustawienia preferencji. Copyright: INTERIA.PL 1999-2023 Wszystkie prawa zastrzeżone.