Jest to ruch jednostajnie przyspieszony.
Droga:
Czas:
Droga w ruchu jednostajnie przyspieszonym:
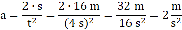
Przyspieszenie:
Droga w pierwszej sekundzie ruchu: 1 m
Droga w drugiej sekundzie ruchu: 4 m – 1 m = 3 m
W trzeciej sekundzie ruchu: 9 m – 4 m = 5 m
W czwartej sekundzie ruchu: 16 m – 9 m = 7 m
Wzór na drogę w ruchu jednostajnie przyspieszonym ma postać:
gdzie s – droga [m],
t – czas [s],
a – przyspieszenie [
Jest to ruch jednostajnie przyspieszony, gdyż przebyta droga w każdej sekundzie zwiększa się wraz z kolejną sekundą.