| Czas t (s) | 0 | 1 | 2 | 3 | 4 | 5 | 10 | 15 | 20 |
| Prędkość v ( | 0 | 2 | 4 | 6 | 8 | 10 | 20 | 30 | 40 |
| Droga s [m] | 0 | 1 | 4 | 9 | 16 | 25 | 100 | 225 | 400 |
Przyspieszenie ciała:
Zmiana prędkości:
Czas:
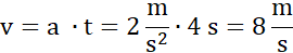
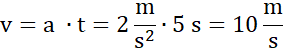
Przyspieszenie:
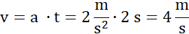
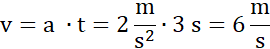
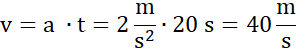
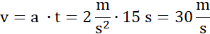
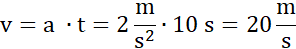
Prędkość ciała dla każdej sekundy:
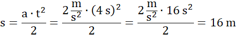
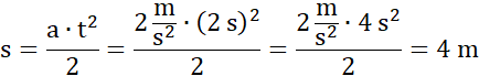
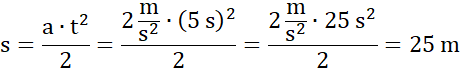
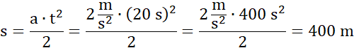
Droga tego ciała:
Wzór na drogę w ruchu jednostajnie przyspieszonym ma postać:
gdzie s – droga [m],
t – czas [s],
a – przyspieszenie [
Wzór na prędkość w ruchu jednostajnie przyspieszonym ma postać:
gdzie v – prędkość [
t – czas [s],
a – przyspieszenie [
Wykres zależności drogi od czasu w ruchu przyspieszonym nie jest nigdy linią prostą.