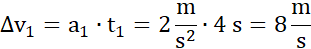
Czas:
Przyspieszenie:
Zmiana prędkości:
W chwili t = 0 s prędkość wynosiła 0, dlatego prędkość ciał po 4 sekundach będzie wynosić:
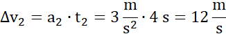
Czas:
Przyspieszenie:
Zmiana prędkości:
W chwili t = 4 s prędkość wynosiła
By obliczyć zmianę prędkości, wykorzystaj wzór:
gdzie
t – czas [s],
a – przyspieszenie