AB – jednostajnie opóźniony.
BC – ciało się nie poruszało
CD – jednostajnie przyspieszony
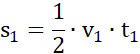
Droga na odcinku AB jest równa polu pod wykresem trójkąta:
Na odcinku CD ciało przebyło 0 metrów.
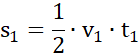
Droga na odcinku CD jest równa polu pod wykresem trójkąta:
Ile ciało łącznie przebyło:
Pole pod wykresem zależności prędkości od czasu jest zawsze równe przebytej drodze. W ruchu jednostajnie przyspieszonym lub opóźnionym figurą pod wykresem jest trójkąt prostokątny, którego pole jest równe:
gdzie a i b to są przyprostokątne trójkąta.
Jest to łatwy sposób na obliczenie drogi, w którym nie trzeba używać skomplikowanych przekształceń wzorów.