Odcinek A-B
Droga:
Czas:
Prędkość średnia:
Odcinek B-C
Droga:
Czas:
Prędkość średnia:
Odcinek C-D
Droga:
Czas:
Prędkość średnia:
Na całym dystansie:
Droga:
Czas:
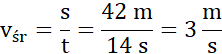
Prędkość na pierwszym odcinku wynosi:
Wykorzystaj wzór na prędkość średnią:
gdzie
s – droga [m],
t – czas [s].