Zmiana prędkości:
Czas:
Przyspieszenie (opóźnienie):
Droga hamowania:
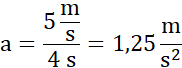
Przyspieszenie tramwaju to
By obliczyć przyspieszenie, wykorzystaj wzór:
gdzie
t – czas [s],
a – przyspieszenie
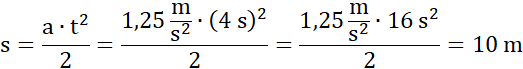
Wzór na drogę w ruchu jednostajnie przyspieszonym/opóźnionym ma postać:
gdzie s – droga [m],
t – czas [s],
a – przyspieszenie [