Prędkość nurtu:
Prędkość statku:
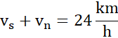
Prędkość względna podczas płynięcia w dół rzeki:
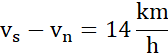
Prędkość względna podczas płynięcia pod prąd:
Odejmujemy równania stronami:
Prędkość nurtu rzeki wynosi 5 kilometrów na godzinę.
Kiedy łódź płynie zgodnie z prądem rzeki, to prędkość nurtu dodajemy do prędkości statku. Jeżeli łódź płynie przeciwnie do prądu rzeki, to prędkości statku i nurtu odejmujemy (statek jest spowalniany przez prąd rzeki).