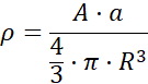
W tym zadaniu musisz obliczyć gęstość materii jądrowej.
Masa jądra:
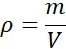
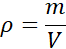
Gęstość:
Masę jądra w u (A) należy zamienić na kg (m).
Gdzie:
V – objętość, m – masa
Objętość kuli:
R – promień kuli
Ćwiczenie 12.1.
Ćwiczenie 12.2.
Ćwiczenie 12.3.
Ćwiczenie 12.4.
Ćwiczenie 12.5.
Ćwiczenie 12.6.
Ćwiczenie 12.7.
Ćwiczenie 12.8.
Ćwiczenie 12.9.
Ćwiczenie 12.10.
Ćwiczenie 12.11.
Ćwiczenie 12.12.
Ćwiczenie 12.13.
Ćwiczenie 12.14.
Ćwiczenie 12.15.
Ćwiczenie 12.16.
Ćwiczenie 12.17.
Ćwiczenie 12.18.
Podpunkt a)
Podpunkt b)
Ćwiczenie 12.19.
Ćwiczenie 12.20.
Ćwiczenie 12.21.
Ćwiczenie 12.22.
Podpunkt c)
Podpunkt d)
Ćwiczenie 12.23.
Ćwiczenie 12.24.
Ćwiczenie 12.25.
Ćwiczenie 12.26.
Ćwiczenie 12.27.
Ćwiczenie 12.28.
Ćwiczenie 12.29.
Ćwiczenie 12.30.
Ćwiczenie 12.31.
Ćwiczenie 12.32.
Ćwiczenie 12.33.
Ćwiczenie 12.34.
Ćwiczenie 12.35.
Ćwiczenie 12.36.
Ćwiczenie 12.37.
Ćwiczenie 12.38.
Ćwiczenie 12.39.
Ćwiczenie 12.40.
Ćwiczenie 12.41.
Ćwiczenie 12.42.
Ćwiczenie 12.43.
Ćwiczenie 12.44.
Ćwiczenie 12.45.
Ćwiczenie 12.46.
Ćwiczenie 12.47.
Ćwiczenie 12.48.
Ćwiczenie 12.49.
Ćwiczenie 12.50.
Ćwiczenie 12.51.
Ćwiczenie 12.52.
Ćwiczenie 12.53.
Ćwiczenie 12.54.
Ćwiczenie 12.55.
Ćwiczenie 12.56.
Ćwiczenie 12.57.
Ćwiczenie 12.58.
Ćwiczenie 12.59.
Ćwiczenie 12.60.
Ćwiczenie 12.61.
Ćwiczenie 12.62.
Ćwiczenie 12.63.
Ćwiczenie 12.64.
Ćwiczenie 12.65.
Ćwiczenie 12.66.
Ćwiczenie 12.67.
Ćwiczenie 12.68.
Ćwiczenie 12.69.