W tym zadaniu musisz oszacować aktywność człowieka.
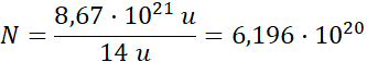
Ilość węgla w człowieku:
Aktywność:
Ćwiczenie 12.1.
Ćwiczenie 12.2.
Ćwiczenie 12.3.
Ćwiczenie 12.4.
Ćwiczenie 12.5.
Ćwiczenie 12.6.
Ćwiczenie 12.7.
Ćwiczenie 12.8.
Ćwiczenie 12.9.
Ćwiczenie 12.10.
Ćwiczenie 12.11.
Ćwiczenie 12.12.
Ćwiczenie 12.13.
Ćwiczenie 12.14.
Ćwiczenie 12.15.
Ćwiczenie 12.16.
Ćwiczenie 12.17.
Ćwiczenie 12.18.
Podpunkt a)
Podpunkt b)
Ćwiczenie 12.19.
Ćwiczenie 12.20.
Ćwiczenie 12.21.
Ćwiczenie 12.22.
Podpunkt c)
Podpunkt d)
Ćwiczenie 12.23.
Ćwiczenie 12.24.
Ćwiczenie 12.25.
Ćwiczenie 12.26.
Ćwiczenie 12.27.
Ćwiczenie 12.28.
Ćwiczenie 12.29.
Ćwiczenie 12.30.
Ćwiczenie 12.31.
Ćwiczenie 12.32.
Ćwiczenie 12.33.
Ćwiczenie 12.34.
Ćwiczenie 12.35.
Ćwiczenie 12.36.
Ćwiczenie 12.37.
Ćwiczenie 12.38.
Ćwiczenie 12.39.
Ćwiczenie 12.40.
Ćwiczenie 12.41.
Ćwiczenie 12.42.
Ćwiczenie 12.43.
Ćwiczenie 12.44.
Ćwiczenie 12.45.
Ćwiczenie 12.46.
Ćwiczenie 12.47.
Ćwiczenie 12.48.
Ćwiczenie 12.49.
Ćwiczenie 12.50.
Ćwiczenie 12.51.
Ćwiczenie 12.52.
Ćwiczenie 12.53.
Ćwiczenie 12.54.
Ćwiczenie 12.55.
Ćwiczenie 12.56.
Ćwiczenie 12.57.
Ćwiczenie 12.58.
Ćwiczenie 12.59.
Ćwiczenie 12.60.
Ćwiczenie 12.61.
Ćwiczenie 12.62.
Ćwiczenie 12.63.
Ćwiczenie 12.64.
Ćwiczenie 12.65.
Ćwiczenie 12.66.
Ćwiczenie 12.67.
Ćwiczenie 12.68.
Ćwiczenie 12.69.