W tym zadaniu musisz obliczyć przybliżony promień gwiazdy neutronowej.
Wykorzystujemy gęstość obliczoną w zadaniu 12.5.
Masę jądra w u (A) należy zamienić na kg (m).
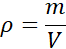
Gęstość:
Gdzie:
V – objętość, m – masa
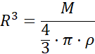
Gęstość materii jądrowej:
Objętość kuli:
R – promień kuli
Ćwiczenie 12.1.
Ćwiczenie 12.2.
Ćwiczenie 12.3.
Ćwiczenie 12.4.
Ćwiczenie 12.5.
Ćwiczenie 12.6.
Ćwiczenie 12.7.
Ćwiczenie 12.8.
Ćwiczenie 12.9.
Ćwiczenie 12.10.
Ćwiczenie 12.11.
Ćwiczenie 12.12.
Ćwiczenie 12.13.
Ćwiczenie 12.14.
Ćwiczenie 12.15.
Ćwiczenie 12.16.
Ćwiczenie 12.17.
Ćwiczenie 12.18.
Podpunkt a)
Podpunkt b)
Ćwiczenie 12.19.
Ćwiczenie 12.20.
Ćwiczenie 12.21.
Ćwiczenie 12.22.
Podpunkt c)
Podpunkt d)
Ćwiczenie 12.23.
Ćwiczenie 12.24.
Ćwiczenie 12.25.
Ćwiczenie 12.26.
Ćwiczenie 12.27.
Ćwiczenie 12.28.
Ćwiczenie 12.29.
Ćwiczenie 12.30.
Ćwiczenie 12.31.
Ćwiczenie 12.32.
Ćwiczenie 12.33.
Ćwiczenie 12.34.
Ćwiczenie 12.35.
Ćwiczenie 12.36.
Ćwiczenie 12.37.
Ćwiczenie 12.38.
Ćwiczenie 12.39.
Ćwiczenie 12.40.
Ćwiczenie 12.41.
Ćwiczenie 12.42.
Ćwiczenie 12.43.
Ćwiczenie 12.44.
Ćwiczenie 12.45.
Ćwiczenie 12.46.
Ćwiczenie 12.47.
Ćwiczenie 12.48.
Ćwiczenie 12.49.
Ćwiczenie 12.50.
Ćwiczenie 12.51.
Ćwiczenie 12.52.
Ćwiczenie 12.53.
Ćwiczenie 12.54.
Ćwiczenie 12.55.
Ćwiczenie 12.56.
Ćwiczenie 12.57.
Ćwiczenie 12.58.
Ćwiczenie 12.59.
Ćwiczenie 12.60.
Ćwiczenie 12.61.
Ćwiczenie 12.62.
Ćwiczenie 12.63.
Ćwiczenie 12.64.
Ćwiczenie 12.65.
Ćwiczenie 12.66.
Ćwiczenie 12.67.
Ćwiczenie 12.68.
Ćwiczenie 12.69.