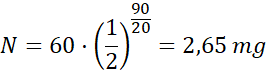
W tym zadaniu musisz oszacować procentową zawartość cezu w podanym momencie.
Zawartość procentowa:
Trzy miesiące to ok. 4,5 razy 20 dni – 90 dni.
Należy skorzystać z prawa rozpadu promieniotwórczego:
Ćwiczenie 12.1.
Ćwiczenie 12.2.
Ćwiczenie 12.3.
Ćwiczenie 12.4.
Ćwiczenie 12.5.
Ćwiczenie 12.6.
Ćwiczenie 12.7.
Ćwiczenie 12.8.
Ćwiczenie 12.9.
Ćwiczenie 12.10.
Ćwiczenie 12.11.
Ćwiczenie 12.12.
Ćwiczenie 12.13.
Ćwiczenie 12.14.
Ćwiczenie 12.15.
Ćwiczenie 12.16.
Ćwiczenie 12.17.
Ćwiczenie 12.18.
Podpunkt a)
Podpunkt b)
Ćwiczenie 12.19.
Ćwiczenie 12.20.
Ćwiczenie 12.21.
Ćwiczenie 12.22.
Podpunkt c)
Podpunkt d)
Ćwiczenie 12.23.
Ćwiczenie 12.24.
Ćwiczenie 12.25.
Ćwiczenie 12.26.
Ćwiczenie 12.27.
Ćwiczenie 12.28.
Ćwiczenie 12.29.
Ćwiczenie 12.30.
Ćwiczenie 12.31.
Ćwiczenie 12.32.
Ćwiczenie 12.33.
Ćwiczenie 12.34.
Ćwiczenie 12.35.
Ćwiczenie 12.36.
Ćwiczenie 12.37.
Ćwiczenie 12.38.
Ćwiczenie 12.39.
Ćwiczenie 12.40.
Ćwiczenie 12.41.
Ćwiczenie 12.42.
Ćwiczenie 12.43.
Ćwiczenie 12.44.
Ćwiczenie 12.45.
Ćwiczenie 12.46.
Ćwiczenie 12.47.
Ćwiczenie 12.48.
Ćwiczenie 12.49.
Ćwiczenie 12.50.
Ćwiczenie 12.51.
Ćwiczenie 12.52.
Ćwiczenie 12.53.
Ćwiczenie 12.54.
Ćwiczenie 12.55.
Ćwiczenie 12.56.
Ćwiczenie 12.57.
Ćwiczenie 12.58.
Ćwiczenie 12.59.
Ćwiczenie 12.60.
Ćwiczenie 12.61.
Ćwiczenie 12.62.
Ćwiczenie 12.63.
Ćwiczenie 12.64.
Ćwiczenie 12.65.
Ćwiczenie 12.66.
Ćwiczenie 12.67.
Ćwiczenie 12.68.
Ćwiczenie 12.69.