Oblicz wartość kąta, pod jakim powinno padać światło o długości 410 nm na powierzchnię szkła krzemiennego, aby mieć ten sam kąt załamania jak promień światła o długości fali 580 nm padający na powierzchnię szkła typu korona pod kątem α = 50°.
DANE:
SZUKANE:
WZÓR:
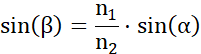
Prawo załamania:
Pierwsza fala:
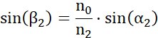
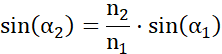
Druga fala:
Wyznaczamy kąt padania dla drugiej fali:
Przyjęte oznaczenia:
Skorzystaj z prawa załamania, które mówi, że stosunek sinusa kata padania do sinusa kąta załamania jest dla dwóch danych ośrodków stały i równy stosunkowi szybkości światła w tych ośrodkach. Na tej podstawie wyznacz sinus kąta załamania w danym ośrodku, porównując je z parametrami fali elektromagnetycznej w powietrzu, gdzie współczynnik załamania jest równy 1.
Zadanie 16.1.9.
16Zadanie 16.1.15.
17Zadanie 16.2.7.
25Zadanie 16.2.12.
26Zadanie 16.2.16.
27Zadanie 16.3.1.
36Zadanie 16.3.9.
37Zadanie 16.3.13.
38Zadanie 16.3.14.
38Zadanie 16.3.15.
39Zadanie 16.3.17.
40Zadanie 16.5.5.
53Zadanie 16.5.7.
53Zadanie 16.6.3.
59Zadanie 16.6.6.
60Zadanie 16.6.13.
62Zadanie 16.7.1.
66Zadanie 16.7.4.
66Zadanie 16.7.6.
67Zadanie 16.7.9.
68Zadanie 16.7.10.
68Zadanie 16.8.2.
77Zadanie 16.8.3.
78Zadanie 16.8.4.
78Zadanie 16.8.5.
79Zadanie 16.8.9.
80Zadanie 16.8.10.
80Zadanie 16.8.11.
80Zadanie 16.8.12.
80Zadanie 16.8.15.
81Zadanie 16.8.20.
81Zadanie 16.8.21.
81Zadanie 16.8.23.
82Zadanie 16.9.10.
92Zadanie 16.10.14.
103Zadanie 16.12.1.
115Zadanie 16.12.8.
117Zadanie 4.
122Zadanie 5.
122Zadanie 6.
123Zadanie 7.
123