Oblicz wartości długości fali i określ jej barwę, jeśli powstaje ona w wyniku interferencji promieni odbitych od warstwy alkoholu i szkła. Warstwa alkoholi o grubości d = 201 nm i o współczynniku załamania n1 = 1,36 została rozlana na powierzchni płytki szklanej o współczynniku załamania n2 = 1,5.
DANE:
SZUKANE:
WZÓR:
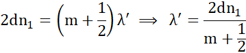
Wyznaczamy długość fali:
Wzmocnienie interferencyjne:
Jest to fala o barwie zielonej.
Jest to fala z zakresu ultrafioletu.
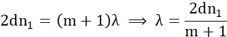
Wygaszenie interferencyjne:
Jest to fala z zakresu podczerwieni.
Jest to fala z zakresu ultrafioletu.
Zaobserwujemy światło barwy zielonej.
Przyjęte oznaczenia:
Zauważ, że rozpatrujemy wzmocnienie oraz wygaszenie interferencyjne, które są opisywane odpowiednio przez wyrażenia
Skorzystaj z faktu, ze zmiana fazy na przeciwną następuje, gdy fala odbija się od ośrodka gęstszego optycznie, czyli o większym współczynniku załamaniu niż w tym, w którym biegnie. Wynika stąd, że różnica dróg optycznych wyrażana jest wzorem
Wyznacz w każdym przypadku długość fali dla kolejnych rzędów interferencyjnych, do momentu aż długość fali nie będzie znajdowała się w widmie światła widzialnego. Zauważ, że wzmocnieniu ulegnie tylko światło barwy zielonej.
Zadanie 16.1.9.
16Zadanie 16.1.15.
17Zadanie 16.2.7.
25Zadanie 16.2.12.
26Zadanie 16.2.16.
27Zadanie 16.3.1.
36Zadanie 16.3.9.
37Zadanie 16.3.13.
38Zadanie 16.3.14.
38Zadanie 16.3.15.
39Zadanie 16.3.17.
40Zadanie 16.5.5.
53Zadanie 16.5.7.
53Zadanie 16.6.3.
59Zadanie 16.6.6.
60Zadanie 16.6.13.
62Zadanie 16.7.1.
66Zadanie 16.7.4.
66Zadanie 16.7.6.
67Zadanie 16.7.9.
68Zadanie 16.7.10.
68Zadanie 16.8.2.
77Zadanie 16.8.3.
78Zadanie 16.8.4.
78Zadanie 16.8.5.
79Zadanie 16.8.9.
80Zadanie 16.8.10.
80Zadanie 16.8.11.
80Zadanie 16.8.12.
80Zadanie 16.8.15.
81Zadanie 16.8.20.
81Zadanie 16.8.21.
81Zadanie 16.8.23.
82Zadanie 16.9.10.
92Zadanie 16.10.14.
103Zadanie 16.12.1.
115Zadanie 16.12.8.
117Zadanie 4.
122Zadanie 5.
122Zadanie 6.
123Zadanie 7.
123