Oblicz grubość prostopadłościennej płytki z polistyrenu o współczynniku załamania n = 1,46, jeśli promień światła padający na nią pod kątem α = 30° wychodzi po jej drugiej stronie przesunięty względem pierwotnego biegu o d = 4 mm.
DANE:
SZUKANE:
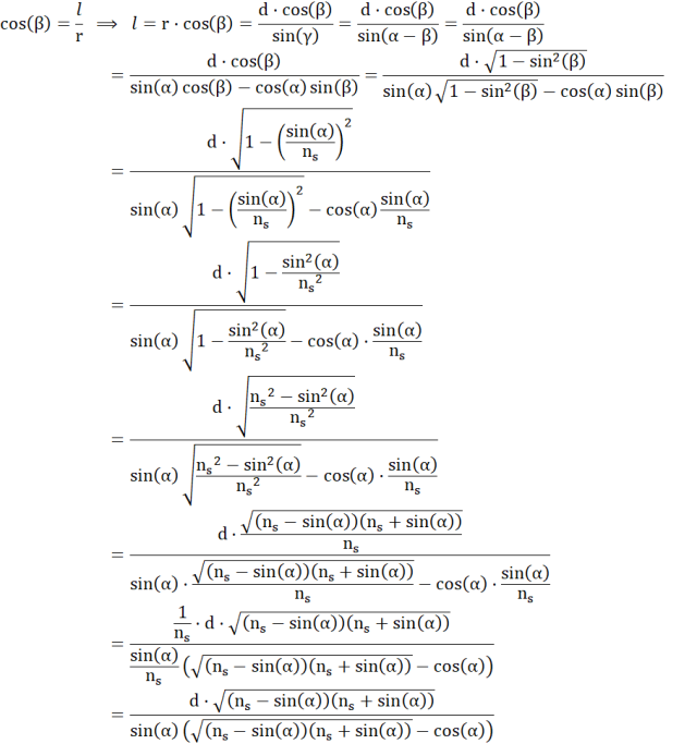
WZÓR:
Wyznaczamy grubość płytki:
Prawo załamania:
Przyjęte oznaczenia:
Najpierw skorzystaj z prawa załamania, które mówi, że stosunek sinusa kata padania do sinusa kąta załamania jest dla dwóch danych ośrodków stały i równy stosunkowi współczynników załamania światła w tych ośrodkach. Na tej podstawie wyznacz sinus kąta załamania.
Następnie zastosuj zależności trygonometryczne w powstałych trójkątach prostokątnych, aby wyznaczyć grubość płytki. W tym celu skorzystaj z tożsamości trygonometrycznych:
Zadanie 16.1.9.
16Zadanie 16.1.15.
17Zadanie 16.2.7.
25Zadanie 16.2.12.
26Zadanie 16.2.16.
27Zadanie 16.3.1.
36Zadanie 16.3.9.
37Zadanie 16.3.13.
38Zadanie 16.3.14.
38Zadanie 16.3.15.
39Zadanie 16.3.17.
40Zadanie 16.5.5.
53Zadanie 16.5.7.
53Zadanie 16.6.3.
59Zadanie 16.6.6.
60Zadanie 16.6.13.
62Zadanie 16.7.1.
66Zadanie 16.7.4.
66Zadanie 16.7.6.
67Zadanie 16.7.9.
68Zadanie 16.7.10.
68Zadanie 16.8.2.
77Zadanie 16.8.3.
78Zadanie 16.8.4.
78Zadanie 16.8.5.
79Zadanie 16.8.9.
80Zadanie 16.8.10.
80Zadanie 16.8.11.
80Zadanie 16.8.12.
80Zadanie 16.8.15.
81Zadanie 16.8.20.
81Zadanie 16.8.21.
81Zadanie 16.8.23.
82Zadanie 16.9.10.
92Zadanie 16.10.14.
103Zadanie 16.12.1.
115Zadanie 16.12.8.
117Zadanie 4.
122Zadanie 5.
122Zadanie 6.
123Zadanie 7.
123